СРОЧНО!!! Нужно полное решение, а не просто ответ!!! НАРОД ОЧЕНЬ НАДО
Исследуйте функцию y=f(x) на максимум и минимум
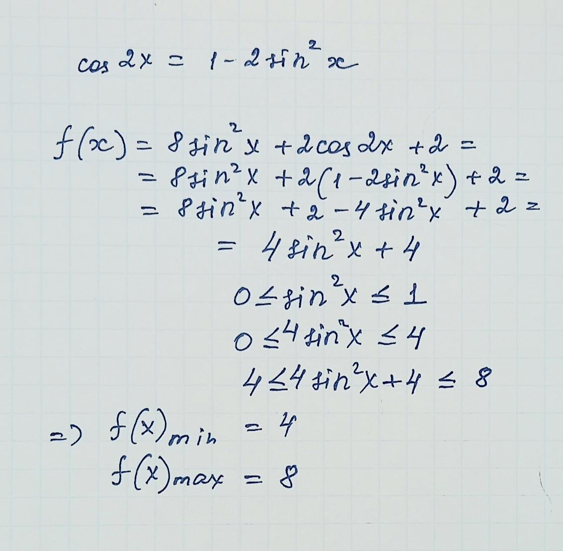
f(x) = 8sin^2x + 2cos2x + 2
Ответы
Ответ дал:
0
Ответ:
Объяснение:
решение на фото
Приложения:

Вас заинтересует
1 год назад
1 год назад
1 год назад
2 года назад
8 лет назад
8 лет назад