• Предмет: Алгебра
  • Автор: Bondarenko15
  • Вопрос задан 10 лет назад

Задание: Найдите производную функции!!


Помогите пожалуйста!! 

Приложения:

Ответы

Ответ дал: mailforazi
0
y=x^a \ y'=a*x^{a-1} \  \ example; \ y=2x^3 \ y'=2*3x^{3-1}=6x^2 \ ============================ \  \ y=3 sqrt{x} =3x^{ frac{1}{2} } \ y'= 3*frac{1}{2} x^{ frac{1}{2}-1 }= frac{3}{2} x^{- frac{1}{2} }= frac{3}{2x^{ frac{1}{2} }} = frac{3}{2 sqrt{x} }  \ ============================ \  \ y=7x \ y'=7*1x^{1-1}=7*1x^0=7*1*1=7


===========================================================

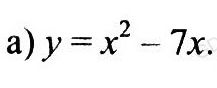
а) y'=2x-7

б) y'= frac{1}{2 sqrt{x} } -18x

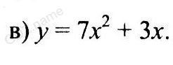
в)y'=14x+3

г)y'= frac{1}{2 sqrt{x} } -10x
Ответ дал: Bondarenko15
0
можно прямрасписать просто я вообще не понимаю как это делается.
Ответ дал: mailforazi
0
мм, ну тут и так табличные формулы используются )
Ответ дал: mailforazi
0
пнятненько ?
Ответ дал: Bondarenko15
0
спачибо большое:)
Ответ дал: mailforazi
0
почалуста :D
Вас заинтересует