Ответы
Ответ дал:
2
Ответ:
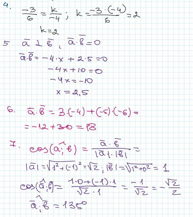
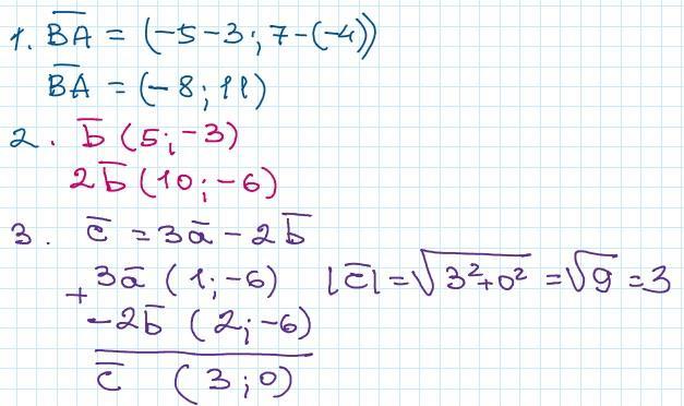
на фото
Объяснение:
Приложения:



makssurgan81:
я тебя обожаю
Вас заинтересует
1 год назад
1 год назад
1 год назад
2 года назад