Ответы
Ответ дал:
1
Ответ:
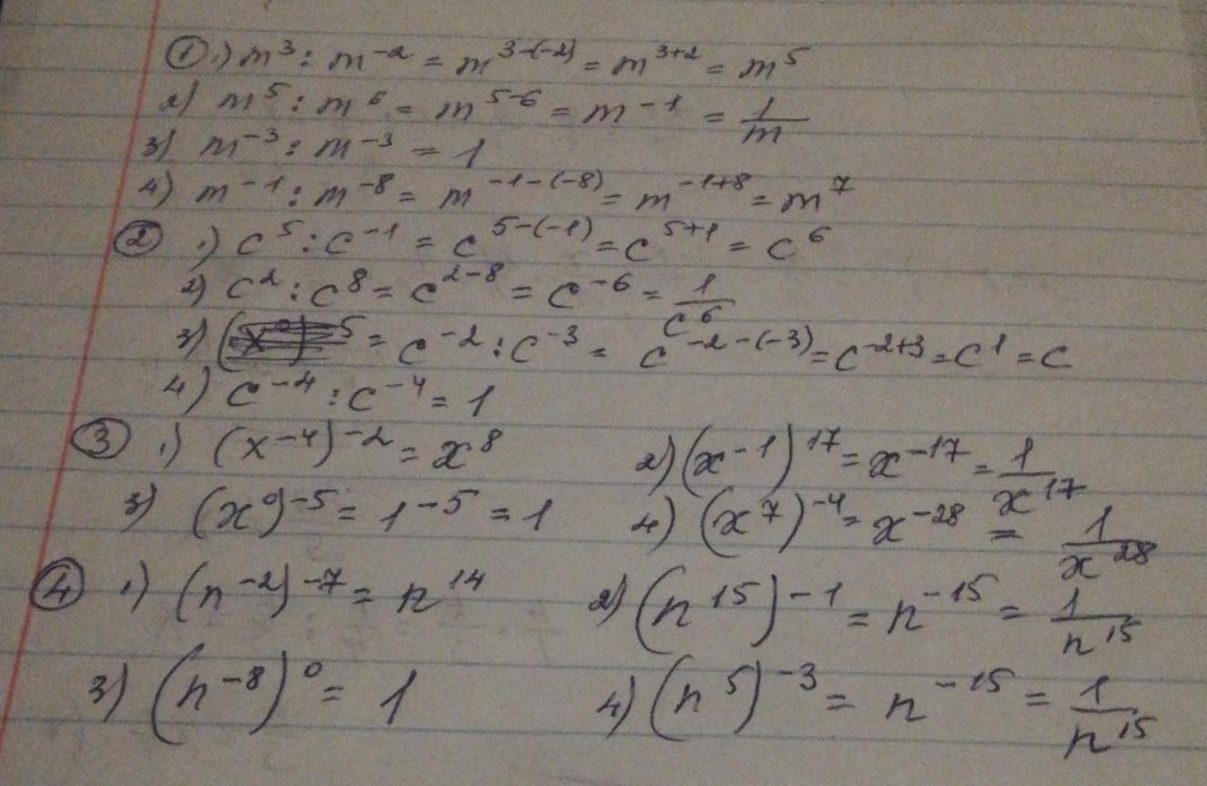
1) m^5. 2)m^-1. 3)1. 4)m^7
1) c^6. 2)c^-6. 3)c. 4)1
1) x^8. 2)x^-17. 3)1. 4)x^-27
1)n^14. 2)n^-15. 3)1. 4)n^-15
Ответ дал:
0
Ответ:
Смотри решение на фото..
Приложения:

Вас заинтересует
1 год назад
1 год назад
1 год назад
1 год назад
2 года назад
2 года назад
8 лет назад
8 лет назад