• Предмет: Алгебра
  • Автор: wermy
  • Вопрос задан 1 год назад

Срочно пожалуйста пж

Приложения:

Ответы

Ответ дал: chinchilla17
1

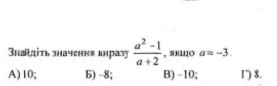
а² - 1 = - 3² - 1 = 9 - 1 = 8

а + 2 = - 3 + 2 = - 1

8 : ( - 1) = - 8

Відповідь: Б) - 8.


wermy: Спасибо большое!!
Вас заинтересует