• Предмет: Математика
  • Автор: krist1487
  • Вопрос задан 1 год назад

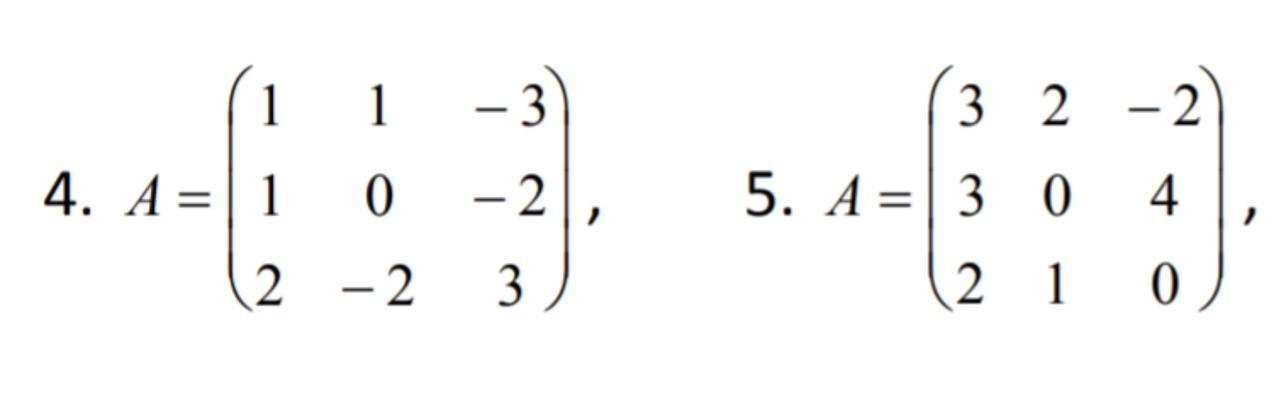
Знайдіть обернену матрицю

Приложения:

Ответы

Ответ дал: l04336324
0

Відповідь:

Завдання 5

A-1 =

2 1 -4

-4 -2 9

-1.5 -0.5 3

Завдання 4

А-1=

0.8 -0.6 0.4

1.4. -1.8. 0.2

0.4 -0.8 0.2

Вас заинтересует