Ответы
Ответ дал:
1
Ответ:
на фото
Объяснение:
Приложения:

Ответ дал:
1
Відповідь:
Пояснення:
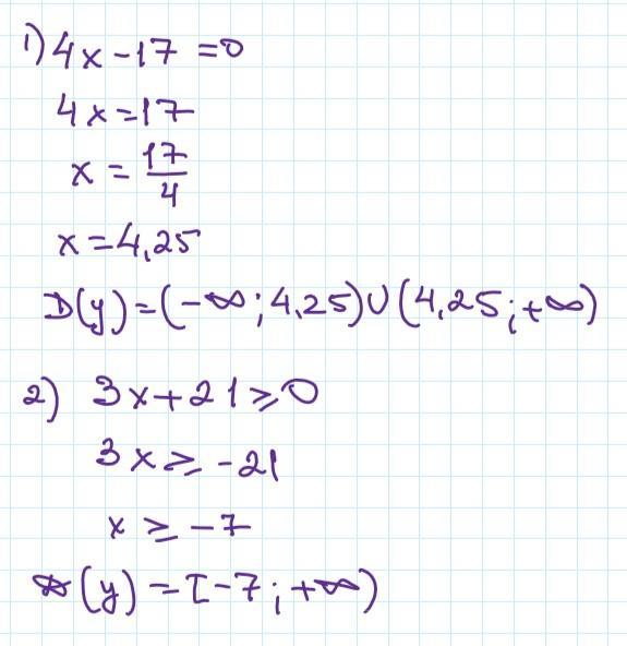
1)
D(y) :
4x-17≠0
4x≠17
x≠17:4
x≠4,25
D(y) : x ∈ (-∞; 4.25)∪(4.25; +∞)
2)
3x+21≥0
3x≥ - 21
x≥ -21:3
x≥ -7
D(y) : x ∈ [ -7; +∞)
Вас заинтересует
1 год назад
1 год назад
1 год назад
2 года назад
2 года назад
8 лет назад