• Предмет: Алгебра
  • Автор: ViktorSen
  • Вопрос задан 1 год назад

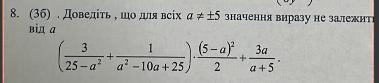
Доведіть, що для всіх а≠ ±5 значення виразу не залежить від а

Приложения:

Ответы

Ответ дал: 7x8
1

Ответ:

Hе залежить від a

Объяснение:

\displaystyle \left(\frac{3}{25-a^2}+\frac{1}{a^2-10a+25}\right)\cdot\frac{(5-a)^2}{2}+\frac{3a}{a+5}=\\\\\left(\frac{3}{(5-a)(5+a)}+\frac{1}{(5-a)^2}\right)\cdot\frac{(5-a)^2}{2}+\frac{3a}{a+5}=\\\\\left(\frac{3(5-a)}{(5-a)^2(5+a)}+\frac{5+a}{(5-a)^2(5+a)}\right)\cdot\frac{(5-a)^2}{2}+\frac{3a}{a+5}=\\\\\frac{3(5-a)+5+a}{(5-a)^2(5+a)}\cdot\frac{(5-a)^2}{2}+\frac{3a}{a+5}=\\\\\frac{15-3a+5+a}{5+a}\cdot\frac{1}{2}+\frac{3a}{a+5}=\\\\

\displaystyle \frac{-2a+20}{5+a}\cdot\frac{1}{2}+\frac{3a}{a+5}=\frac{2(-a+10)}{5+a}\cdot\frac{1}{2}+\frac{3a}{a+5}=\\\\\frac{-a+10}{5+a}+\frac{3a}{a+5}=\frac{-a+10+3a}{a+5}=\\\\\frac{10+2a}{a+5}=\frac{2(5+a)}{a+5}=2

Вас заинтересует