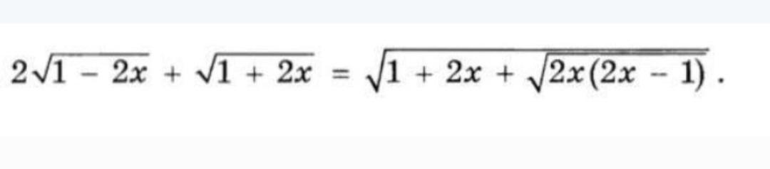
Решите уравнение......
Приложения:

antonovm:
очевидный корень 0,5 , а то , что нет отрицательных х позволяет сделать оценка , например , при x < 0 левая часть больше 2 , а правая меньше , красивого решения пока не вижу
Ответы
Ответ дал:
1
Ответ:
0,5 ................................
Объяснение:
Приложения:

Вас заинтересует
1 год назад
1 год назад
1 год назад
1 год назад
2 года назад
2 года назад
8 лет назад
8 лет назад