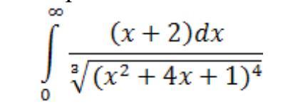
Всё расписать, срочно. Вычислить несобственный интеграл или доказать его несовпадение:(на фото)
Приложения:

yugolovin:
несовпадение - это расходимость?
Ответы
Ответ дал:
1
Ответ:
Пошаговое объяснение:
Здравствуйте, ответ на фотографии.
С уважением, Владимир.
Приложения:

Вас заинтересует
1 год назад
1 год назад
1 год назад
1 год назад
2 года назад
2 года назад
8 лет назад