Ответы
Ответ дал:
1
Відповідь:
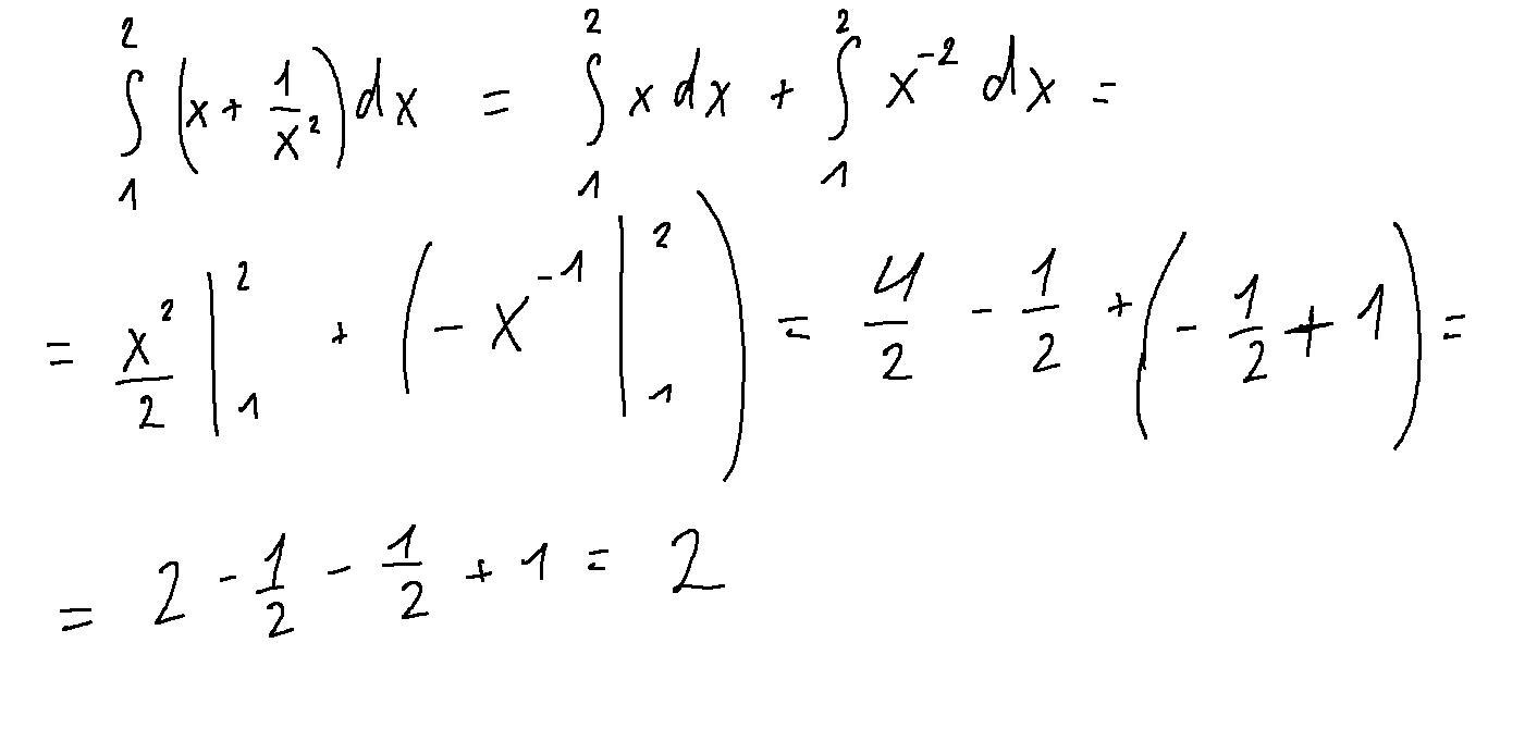
Пояснення:
Приложения:

Вас заинтересует
1 год назад
1 год назад
1 год назад
2 года назад
2 года назад