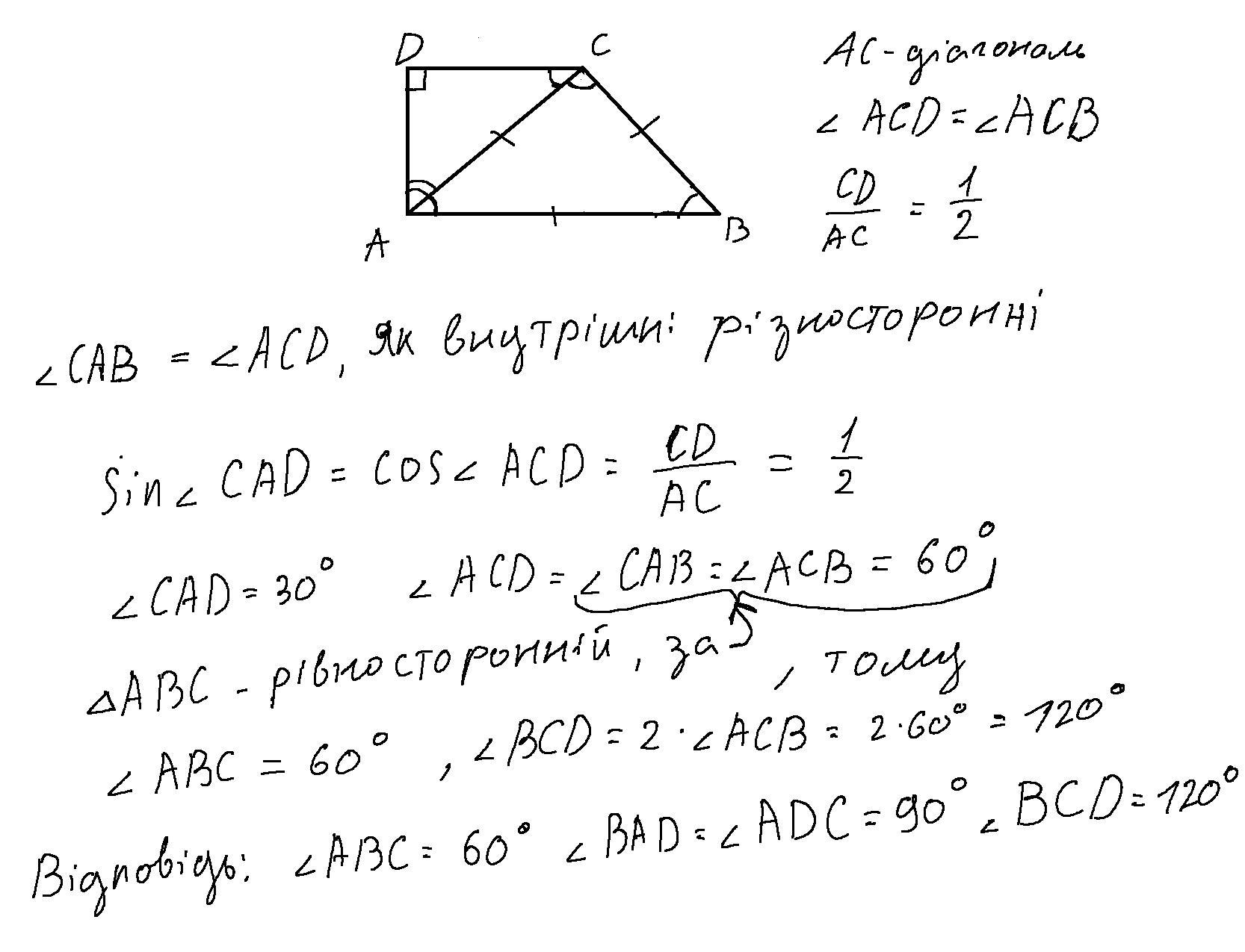
У прямокутній трапеції діагональ є бісектрисою тупого кута і вдвічі більша за меншу основу. Знайдіть кути трапеції.
Ответы
Ответ дал:
0
Відповідь:
Пояснення:
Приложения:

Вас заинтересует
1 год назад
1 год назад
1 год назад
1 год назад
2 года назад
8 лет назад