Умоляю! ЦЕ ДУЖЕ ТЕРМІНОВО! ДОПОМОЖИТЬ БУДЬ ЛАСКА! Прошу на колінях!!!!
Знайдіть значення виразу 2sin^2β-5+2cos^2β.
Ответы
Ответ дал:
1
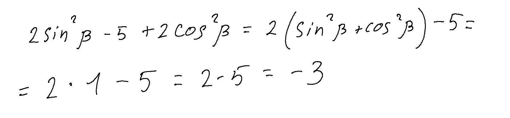
Відповідь:
Пояснення:
Приложения:

Ответ дал:
0
Використаємо тригонометричну ідентичність sin^2(β) + cos^2(β) = 1:
2sin^2(β) - 5 + 2cos^2(β) = 2(sin^2(β) + cos^2(β)) - 5 = 2(1) - 5 = -3.
Отже, значення виразу -3.
2sin^2(β) - 5 + 2cos^2(β) = 2(sin^2(β) + cos^2(β)) - 5 = 2(1) - 5 = -3.
Отже, значення виразу -3.
Вас заинтересует
1 год назад
1 год назад
2 года назад
8 лет назад
8 лет назад