Ответы
Ответ дал:
1
Ответ:
Пошаговое объяснение:
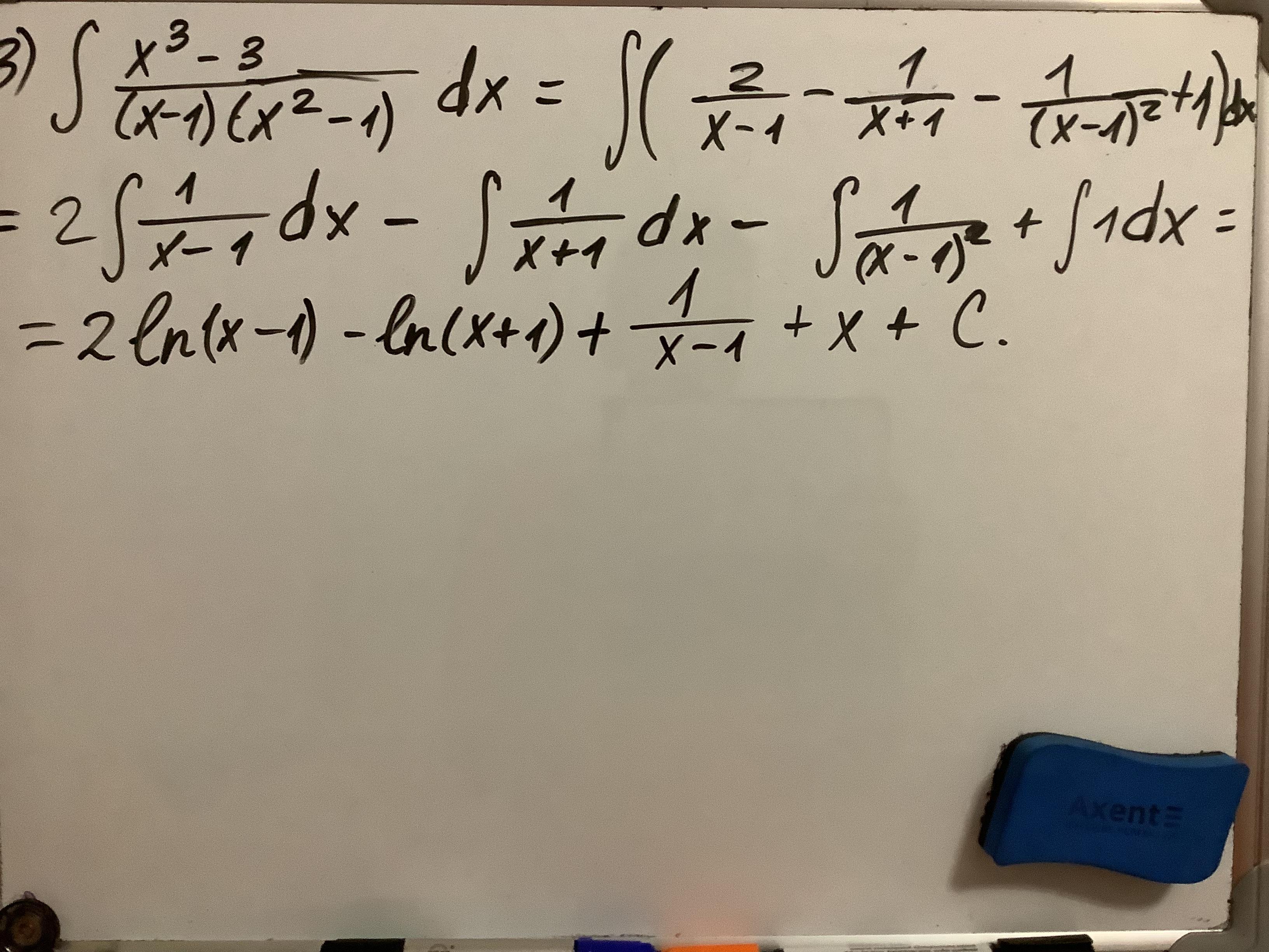
Здравствуйте, решения на фотографиях.
С уважением, Владимир.
Приложения:


Вас заинтересует
1 год назад
1 год назад
1 год назад
1 год назад
2 года назад
8 лет назад