Решить определённый интеграл(Срочно!)
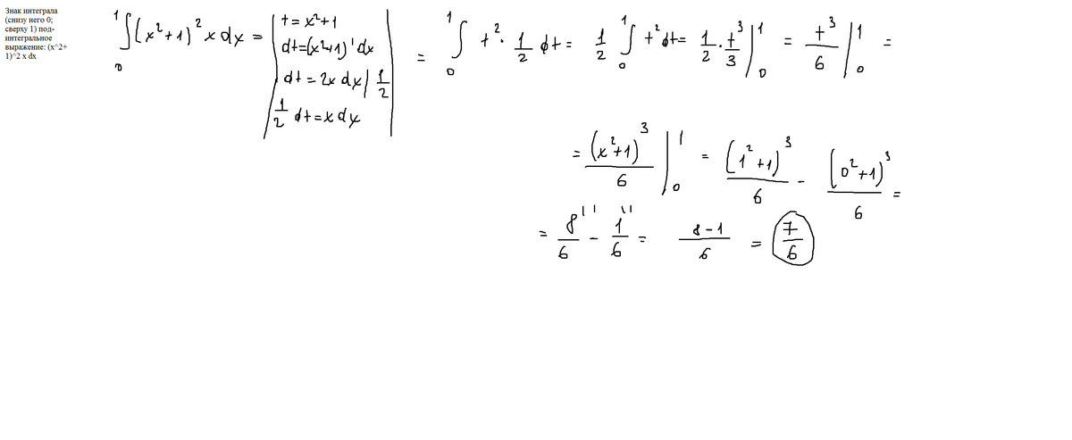
Знак интеграла(снизу него 0; сверху 1) под-интегральное выражение: (х^2+1)^2 х dx
Ответы
Ответ дал:
0
вот. решение в приложении.
Приложения:

Вас заинтересует
2 года назад
2 года назад
8 лет назад
10 лет назад
10 лет назад