• Предмет: Химия
  • Автор: Загадка2011
  • Вопрос задан 11 лет назад

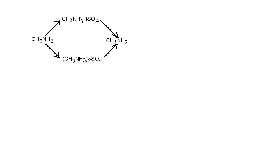
Составьте уравнения реакций, в результате которых можно осуществить следующие превращения:

(см. в вложения)

Приложения:

Ответы

Ответ дал: cyberx3mal
0

ch3nh2 + h2so4 = [ch3nh3]hso4

[ch3nh3]hso4 +2naoh= ch3nh2 + na2so4 + 2h2o

2ch3nh2 + h2so4 =[ch3nh3]2so4

 [ch3nh3]2so4 + 2naoh = 2ch3nh2 + naso4 + 2h2o

Вас заинтересует