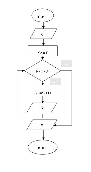
Запишите на языке Паскаль программу, соответствующую приведённой ниже блок-схеме и определить, что вычисляет данная программа:
Приложения:

Ответы
Ответ дал:
0
var n,s : integer;
begin
readln(n);
if n <> 0 then
begin
s:=s+n;
readln(n);
end
else writeln(s);
readln;
end.
это программа позволяет найти сумму вводимых чисел, но если ввести ноль, то числа перестанут запрашиваться и на экран выведеться сумма чисел, вводимых до ноля.
Вас заинтересует
2 года назад
2 года назад
8 лет назад
10 лет назад
10 лет назад
10 лет назад