• Предмет: Математика
  • Автор: ya100
  • Вопрос задан 10 лет назад

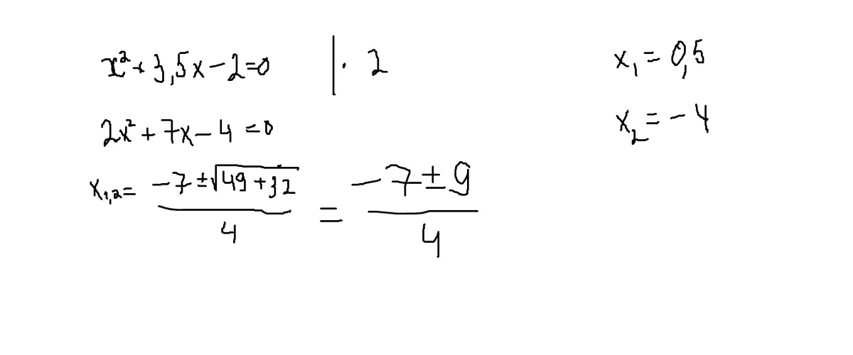
решите уравнение х^2+3,5x=2

Ответы

Ответ дал: remix5z
0
ответ в картинке.....
Приложения:
Ответ дал: ya100
0
спасибо)
Вас заинтересует