• Предмет: Математика
  • Автор: star2404
  • Вопрос задан 10 лет назад

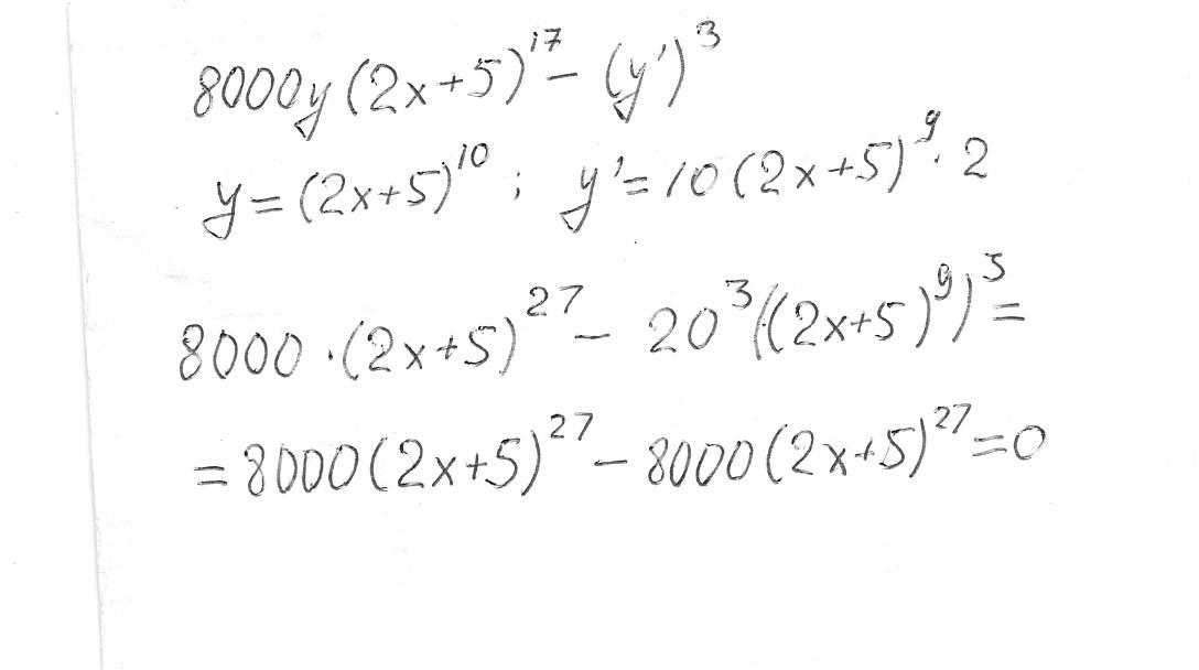
Докажите,что функция у=(2х+ 5) ^10 удовлетворяет соотношению 8000у(2х+ 5)^17-(у')^3=0

Ответы

Ответ дал: Опыт
0
решил твое задание. поставь "лучшее".
Приложения:
Вас заинтересует