Ответы
Ответ дал:
0
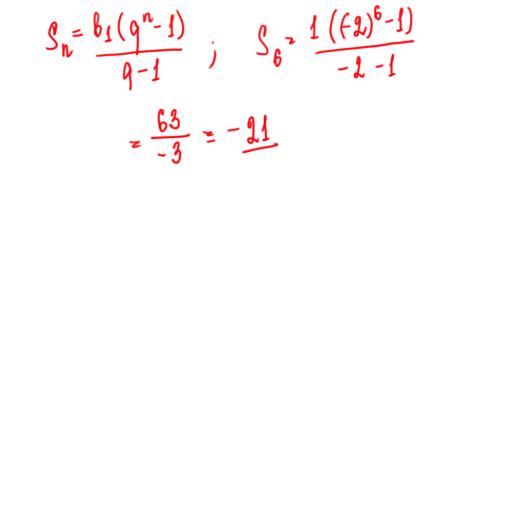
Вроде бы так решается.
Приложения:

Ответ дал:
0
Да, спасибо)))
Вас заинтересует
2 года назад
2 года назад
8 лет назад
8 лет назад
10 лет назад
10 лет назад