• Предмет: Алгебра
  • Автор: vladen777
  • Вопрос задан 10 лет назад

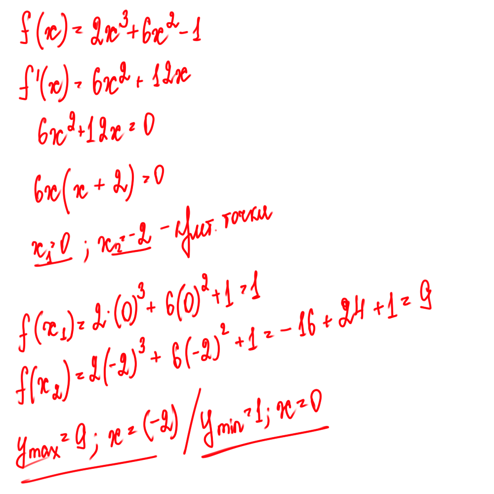
Дана функция f(x)=2x^3+6x^2-1. Найдите наибольшое и наименьшое значение функции на отрезке [-3;0]

Ответы

Ответ дал: mockingbird
0
Значения х подставляем в саму функцию.
Приложения:
Вас заинтересует