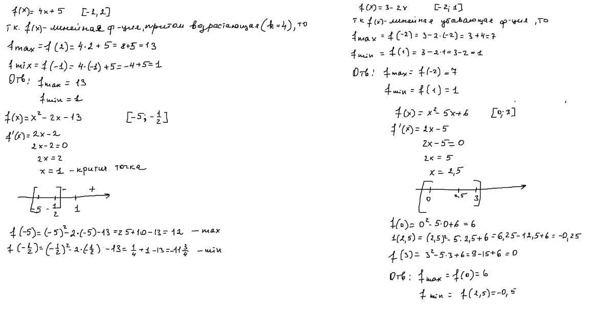
помогите решить задание 1)f(x)=4x+5 [-1;2]
2)f(x)=3-2x [-2;1]
3)f(x)=x^-2x-3 [-5;-1/2]
4)f(x)=x^-5x+6 [0;3]
Ответы
Ответ дал:
0
Если понравилось решение - нажимай "спасибо" и "лучший" (рядом с кнопкой "спасибо") :)
Приложения:
Ответ дал:
0
смотри по интервалам
Ответ дал:
0
блин большое спасибо
Ответ дал:
0
пжл ))))))))))
Ответ дал:
0
ты тут
Ответ дал:
0
есения ты тут
Ответ дал:
0
1)
![f(x)=4x+5 [-1;2] f(x)=4x+5 [-1;2]](https://tex.z-dn.net/?f=f%28x%29%3D4x%2B5+%5B-1%3B2%5D)
это прямая, постоянно растёт(f'(x)=4)

2)
![f(x)=3-2x [-2;1];\
f(x)=3-2x [-2;1];\](https://tex.z-dn.net/?f=f%28x%29%3D3-2x+%5B-2%3B1%5D%3B%5C%0A)
тоже прямая, правда постоянно убывает
f'(x)=-2;

3)
не входит
на нашем промежутке при x<1 фунуция убывает(производная отрицательная)

4)
точка минимума(производная в этой точке меняет знак с "-" на "+"

это прямая, постоянно растёт(f'(x)=4)
2)
тоже прямая, правда постоянно убывает
f'(x)=-2;
3)
на нашем промежутке при x<1 фунуция убывает(производная отрицательная)
4)
Приложения:
Ответ дал:
0
не это не оно мне его уже решили
Вас заинтересует
3 года назад
3 года назад
8 лет назад
8 лет назад
11 лет назад
11 лет назад
11 лет назад