Ответы
Ответ дал:
0
Через дискриминант!
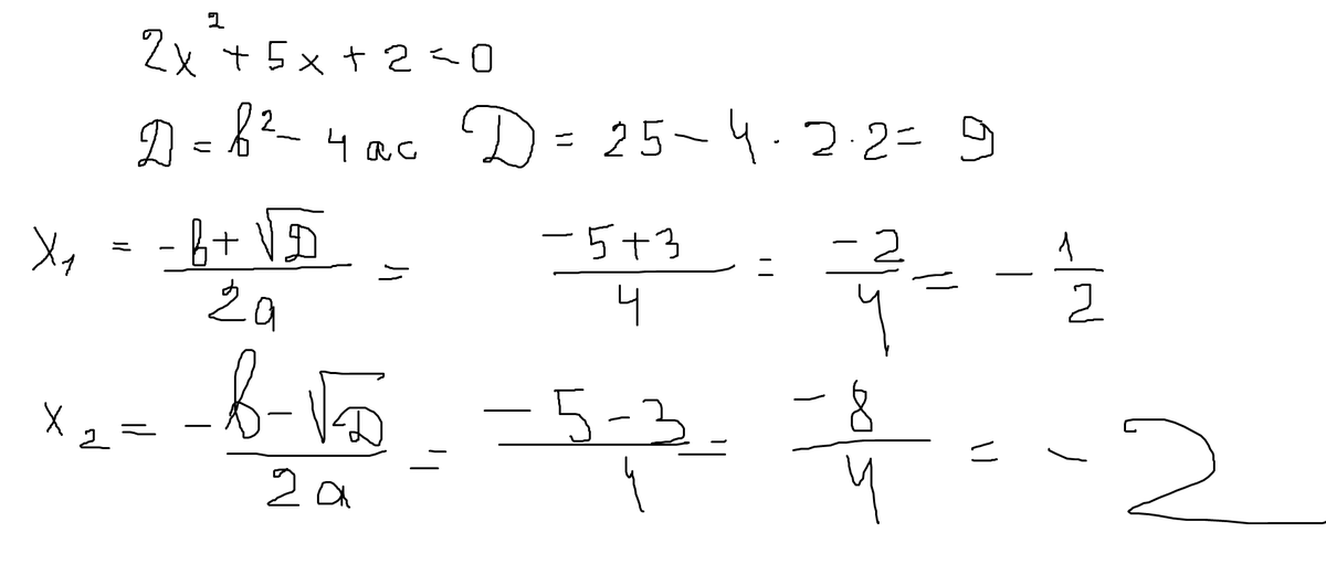
Д=В в квадрате - 4 АС= 5 в квадрате -4*2*2=25-16=9
Д>0, 2 корня
х1=-0,5
х2=-2
Д=В в квадрате - 4 АС= 5 в квадрате -4*2*2=25-16=9
Д>0, 2 корня
х1=-0,5
х2=-2
Ответ дал:
0
Решение во вложении
---------------------------------------------------
---------------------------------------------------
Приложения:

Вас заинтересует
2 года назад
2 года назад
8 лет назад
8 лет назад
10 лет назад
10 лет назад
10 лет назад