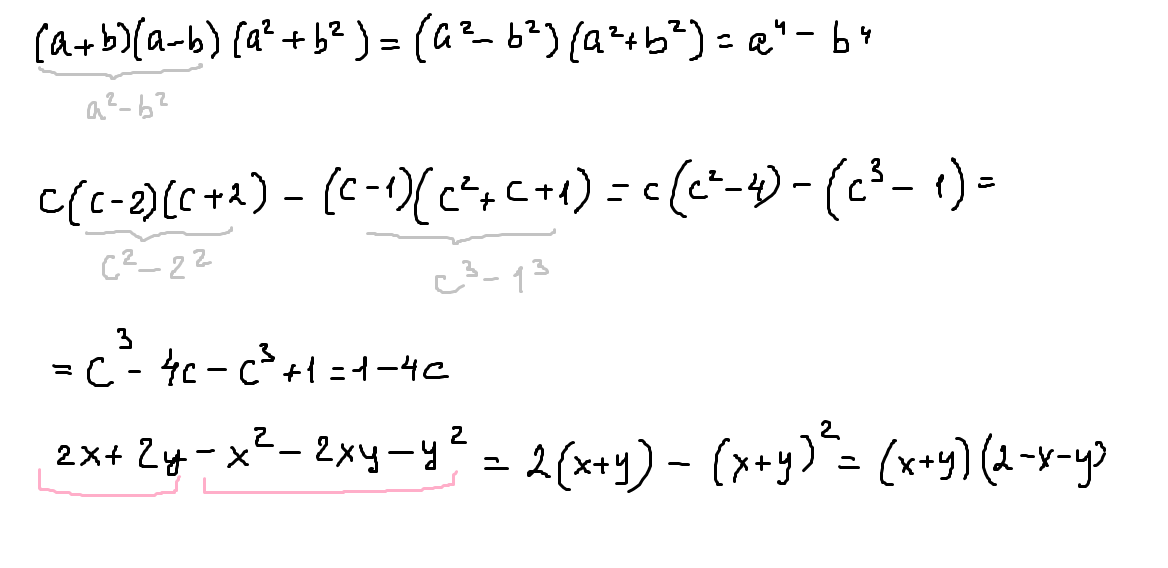
10) представьте в виде многочлена (a+b)(a-b)(a^2+b^2)
11) упростите выражение c(c-2)(c+2)-(c-1)(c^2+c+1)
12)разложите на множетели многочлен 2x+2y-x^2-2xy-y^2
Ответы
Ответ дал:
0
Если понравилось решение - нажимай "спасибо" и "лучший" (рядом с кнопкой "спасибо") :)
Приложения:
Ответ дал:
0
10)

11)

12)

11)
12)
Приложения:
Вас заинтересует
3 года назад
8 лет назад
11 лет назад
11 лет назад
11 лет назад