• Предмет: Алгебра
  • Автор: Anastasia9arilova
  • Вопрос задан 10 лет назад

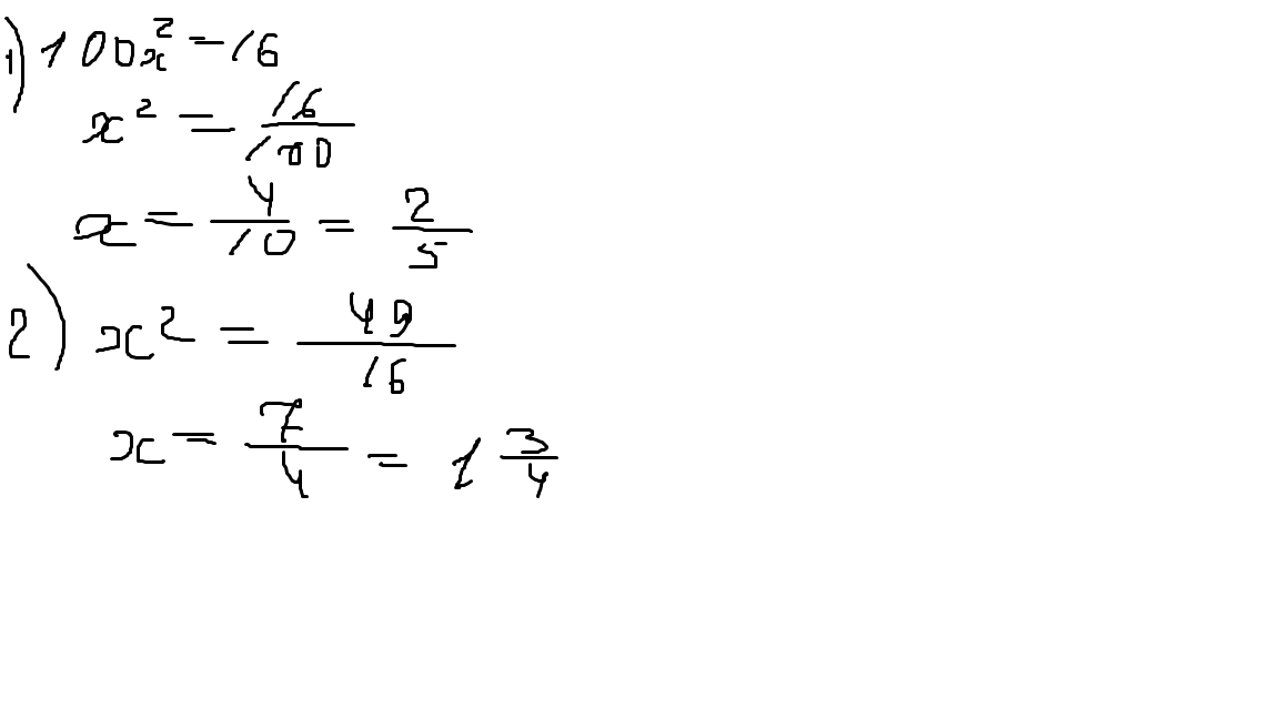
помогите решить уравнения:
100x^2-16=0
16x^2=49

Ответы

Ответ дал: Ekaterina1819
0
Получится вот так :)
Приложения:
Вас заинтересует