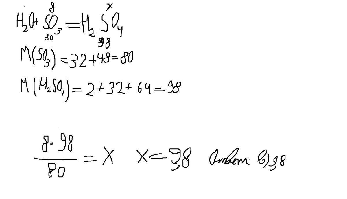
Определите, какую массу серной кислоты H2SO4 можно получить при взаимодействии 8 г вещества SO3 с избытком воды:
а) 4 г
б) 8 г
в) 9,8 г
г) 16 г
Ответы
Ответ дал:
0
))))))))))))))))))))))))))
Приложения:
Вас заинтересует
3 года назад
3 года назад
8 лет назад
11 лет назад
11 лет назад
11 лет назад