Ответы
Ответ дал:
0
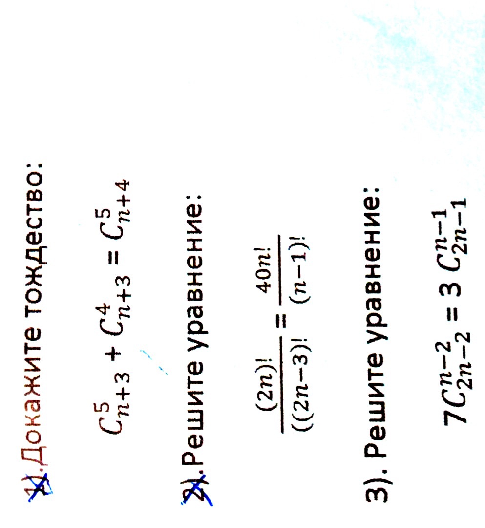
1) ((n+3)(n+2)(n+1)n(n-1)) /(2*3*4*5)+((n+3)(n+2)n+1)n)/2*3*4=((n+4)(n+3)(n+2)(n+1)n/
/(1*2*3*4*5
((n+3)(n+2)(n+1)n)(n-1+5))/(5!)=((n+4)(n+3)(n+2)(n+1)n)/(5!)
n+4=n+4; 0n=0; n-любое натур число?n+3>5; n>2
n+3>4; n>1; n+4>5; n>1
Ответ. n>2, n-натур число
2) (1*2*...*((2n-3)(2n-2)(2n-1)2n) /(2n-3)!=40*(1*2*3...*(n-1)n) /(n-1)!
(2n-2)(2n-1)2n=40*n
4n^2-6n+2=20
4n^2-6n-18=0; 2n^2-3n-9=0; D=9+72=81=9^2; n1=(3-9)/4=-3/2 постор; n2=(3+9)/4=3
3)7((2n-2)!/(n-2)!(2n-2-n+2)!)=((3(2n-1)!)/((2n-1)!(2n-1-n+1)!
(7(2n-2)!/((n-2)!n!)=(3(2n-1)!/(2n-1)!n!)
умножим на (n-2)!n!) /(2n-2)!
7=3(2n-1)/(n-1); 7(n-1)=3(2n-1)
7n-6n=-3+7; n=4 Проверьте сами! всё куда-то пропало! Добавила
/(1*2*3*4*5
((n+3)(n+2)(n+1)n)(n-1+5))/(5!)=((n+4)(n+3)(n+2)(n+1)n)/(5!)
n+4=n+4; 0n=0; n-любое натур число?n+3>5; n>2
n+3>4; n>1; n+4>5; n>1
Ответ. n>2, n-натур число
2) (1*2*...*((2n-3)(2n-2)(2n-1)2n) /(2n-3)!=40*(1*2*3...*(n-1)n) /(n-1)!
(2n-2)(2n-1)2n=40*n
4n^2-6n+2=20
4n^2-6n-18=0; 2n^2-3n-9=0; D=9+72=81=9^2; n1=(3-9)/4=-3/2 постор; n2=(3+9)/4=3
3)7((2n-2)!/(n-2)!(2n-2-n+2)!)=((3(2n-1)!)/((2n-1)!(2n-1-n+1)!
(7(2n-2)!/((n-2)!n!)=(3(2n-1)!/(2n-1)!n!)
умножим на (n-2)!n!) /(2n-2)!
7=3(2n-1)/(n-1); 7(n-1)=3(2n-1)
7n-6n=-3+7; n=4 Проверьте сами! всё куда-то пропало! Добавила
Ответ дал:
0
У меня во втором уравнении при решении после того как нашел дискрименант получилось n=3 как быть?
Ответ дал:
0
Запиши ответ: 3!
Ответ дал:
0
там просто 3. Это восклиц. знак
Вас заинтересует
3 года назад
8 лет назад
8 лет назад
11 лет назад
11 лет назад
11 лет назад