• Предмет: Алгебра
  • Автор: ManoWar1
  • Вопрос задан 10 лет назад

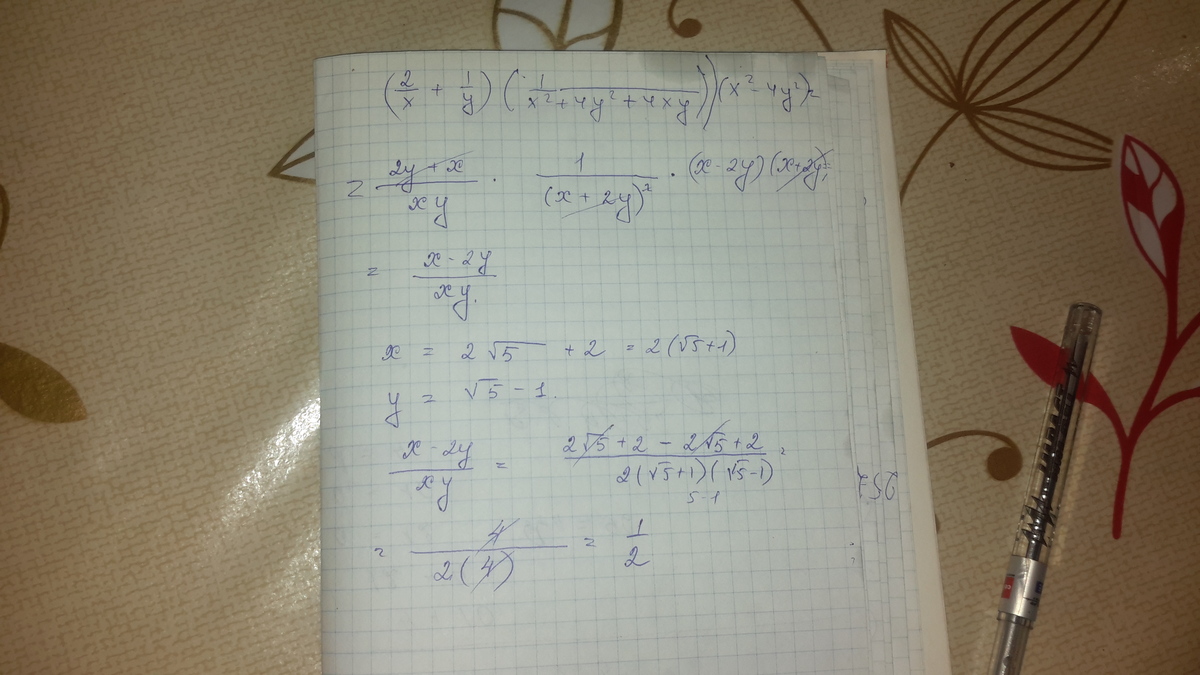
найдите значение выражения (2/х + 1/у) * (1/(х^2+4y^2+4ху))  *  (х^2 - 4у^2)

Ответы

Ответ дал: prostomama1
0
"""""""""""""""""""""""""""""""""
Приложения:
Вас заинтересует