• Предмет: Алгебра
  • Автор: Аноним
  • Вопрос задан 10 лет назад

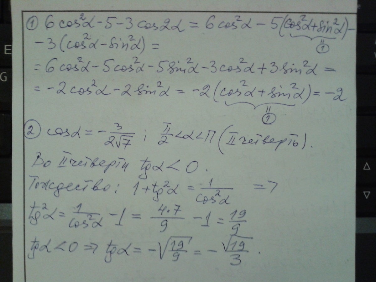
Нужно упростить два выражения. (Фото) . Синусы, косинусы и тд. Спасибо!

Приложения:

Ответы

Ответ дал: NNNLLL54
0
Смотри решение во вложении
Приложения:
Ответ дал: Аноним
0
Спасибо большое!!
Вас заинтересует