• Предмет: Алгебра
  • Автор: yuliashabala
  • Вопрос задан 10 лет назад

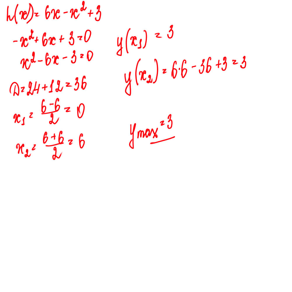
Найдите наибольшее значение функции h(x)=6x-x^2+3

Ответы

Ответ дал: mockingbird
0
Вроде бы так решается. 
Приложения:
Вас заинтересует