помогите пожалуйста сделать 1 и 2 ,
3 , 4 , и 5 просто проверите правильно я сделала или нет а то не уверенна
3)-1
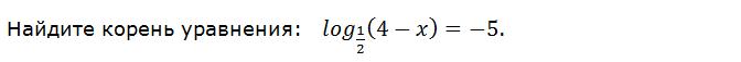
4)2,5
5)28
Приложения:
Ответы
Ответ дал:
0
1) 
===================
2) ОДЗ
1-x≥0
x≤1
при x≤1
|x-1|≤0 => |x-1|=-(x-1)=1-x



===================
3)
Ответ: -1
===================
4)
Ответ: 2,5; 3,5
===================
5)
Ответ: -28
===================
2) ОДЗ
1-x≥0
x≤1
при x≤1
|x-1|≤0 => |x-1|=-(x-1)=1-x
===================
3)
Ответ: -1
===================
4)
Ответ: 2,5; 3,5
===================
5)
Ответ: -28
Ответ дал:
0
аяяй 4 неверно(((((((( там походу правда 2.5 !!)
Ответ дал:
0
переделал, походу вот так решение 4 задачи выглядит :S
Вас заинтересует
3 года назад
8 лет назад
8 лет назад
11 лет назад
11 лет назад
11 лет назад
11 лет назад