• Предмет: Геометрия
  • Автор: ИванРудинов
  • Вопрос задан 10 лет назад

Для правильного шестиугольника со стороной 4 см найти R,r,S.



#2

 

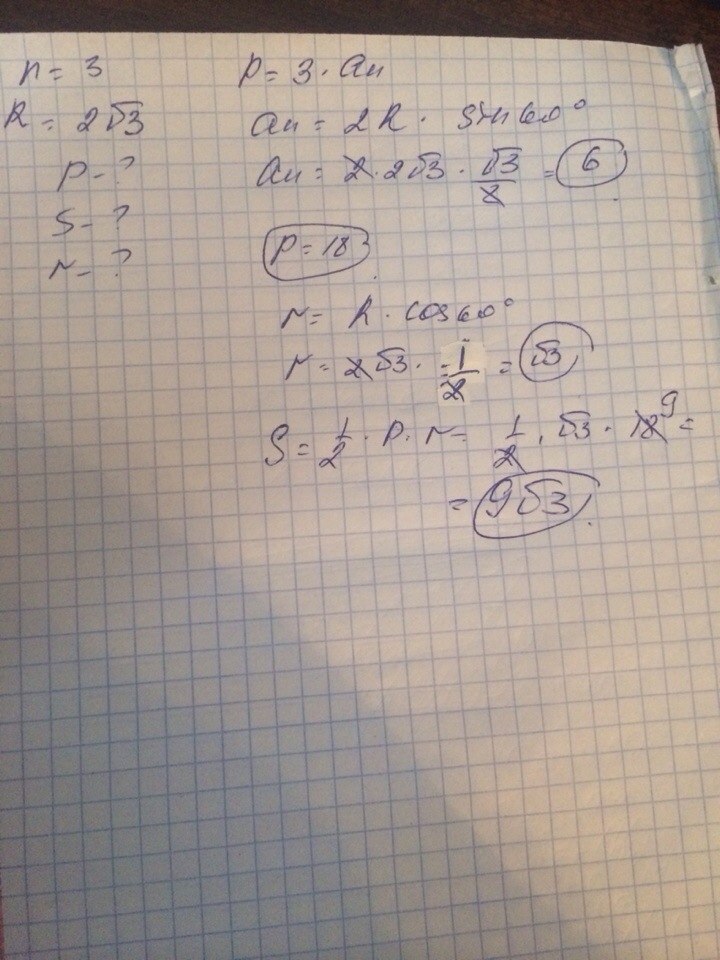
Дан правильный треугльник.Около него описана окружность r=2 корня из 3 см.Найдите периметр,площадь и радиус вписанной окружности. 

Ответы

Ответ дал: AnnAvans
0
Вот как-то так.... Надеюсь, что понятно
Приложения:
Вас заинтересует