Ребят , прошу ведь , по-человечески , и что получаю?
Решите пожалуйста , Вам же +. И это к Вам ещё и престиж. Решите , прошу.
Приложения:

Ответы
Ответ дал:
0
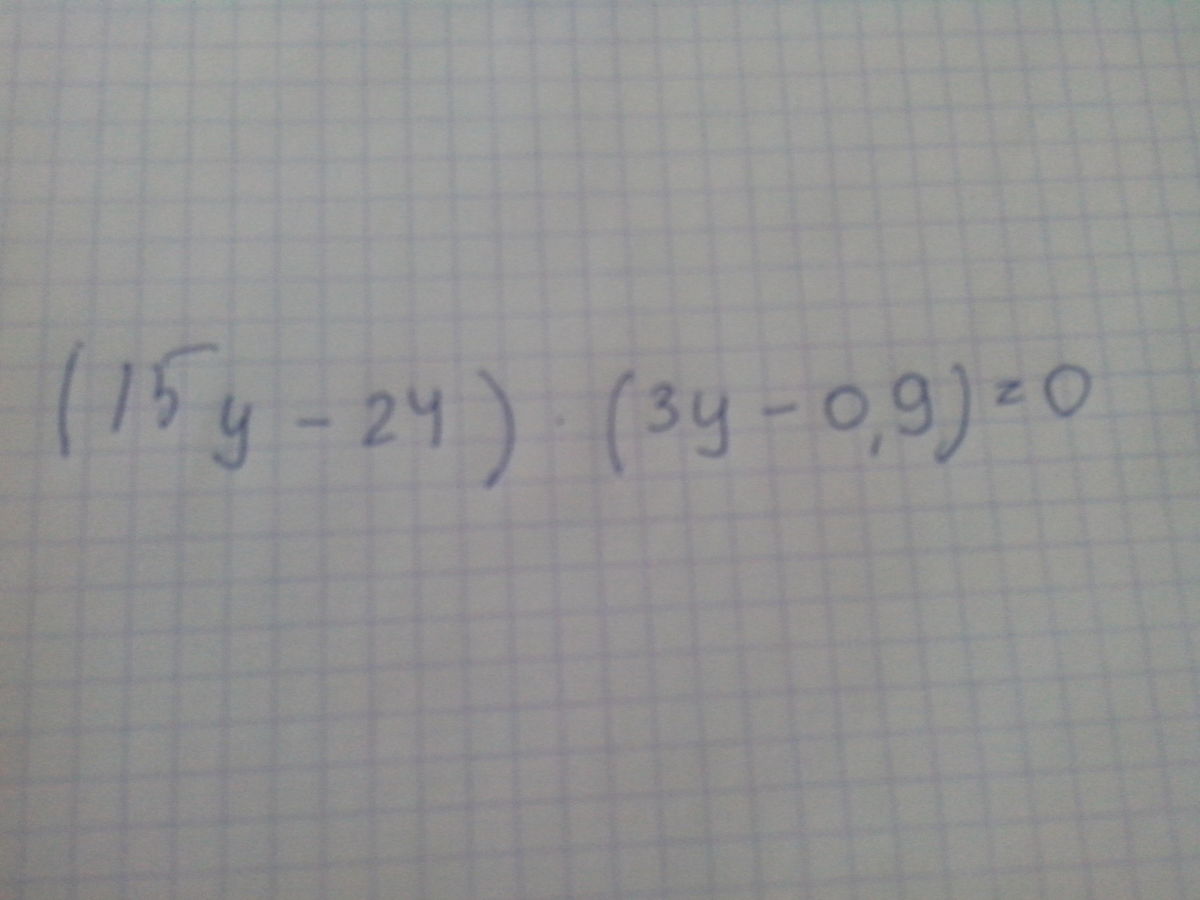
45у²-72у-13,5у+21,6=0
45у²-85,5у+21,6=0
D=7310,25-4*45*21,6=3422,25=58,5²
у1=85,5+58,5 /90=1,6
у2=85,5-58,5 /90=0,3
45у²-85,5у+21,6=0
D=7310,25-4*45*21,6=3422,25=58,5²
у1=85,5+58,5 /90=1,6
у2=85,5-58,5 /90=0,3
Ответ дал:
0
0,9:3=0,3!!!))))))
Ответ дал:
0
блин, точно, совсем забыл. Спасибо, напомнил)))
Ответ дал:
0
Уважаемый , прошу успокоиться.
Ответ дал:
0
Полина, это мне? За что?!!!
Ответ дал:
0
Или мне? И тот же вопрос-за что?
Вас заинтересует
2 года назад
8 лет назад
8 лет назад
10 лет назад
10 лет назад
10 лет назад