• Предмет: Химия
  • Автор: SabinaZagitova
  • Вопрос задан 10 лет назад

Помогите пожалуйста!!!!
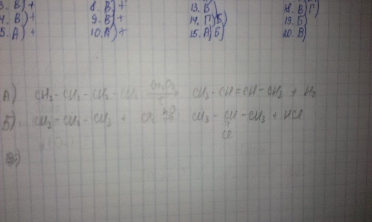
Составьте уравнение реакций:
А)дегидрирования бутана
Б)хлорирования пропана(первой стадии)
Буду очень вам благодарна!!!

Ответы

Ответ дал: а21ю06ч98
0
))))))))))))))))))))
Приложения:
Ответ дал: SabinaZagitova
0
а вы не знаете решение?
Ответ дал: швободааа
0
CH3-CH2-CH2-CH3 ---t-> CH3-CH=Ch-CH3  + H2
CH3-CH2-CH3 + Cl2 ---hv(свет)---> CH3-CH(Cl)-CH3 + 2HCl
Приложения:
Ответ дал: SabinaZagitova
0
спасибо огромное!!!:)
Ответ дал: швободааа
0
Не за что)
Вас заинтересует