Название: Алгебра. 7 класс. Часть 2. Задачник.
Автор: Мордкович А.Г.
2009
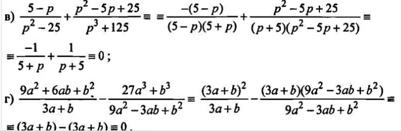
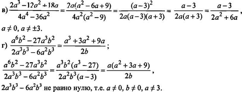
Под буквами В и Г номер 36.12 и 36.13
Заранее большое спасибо
Ответы
Ответ дал:
0
Извините, а у Вас учебник с углубленным изучением математике? Там про что задание? Дана функция y=f(x)...это?
Ответ дал:
0
Держи. Все на картинках.
Приложения:


Вас заинтересует
2 года назад
2 года назад
8 лет назад
8 лет назад
10 лет назад
10 лет назад
10 лет назад
10 лет назад