• Предмет: Математика
  • Автор: ВладиславСупнев
  • Вопрос задан 10 лет назад

ПОМОГИТЕ!!!!!!!!!!!!!!!!!!!!!!!!!!!!!!!!!!!!!!!!!!!!!!!!!!!!!!!!!!!!!!!!!!!!!!!!!!!!!!!!!!!!!!!!!!!!!!!!!!!!!!!!!!!!!!!!!!
Поймите, это дроби
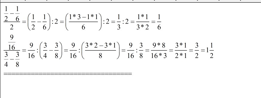
1/2-1/6
______                                        
    2

  9/16
______
3/4-3/8

Ответы

Ответ дал: triolana
0
===========================================
Приложения:
Вас заинтересует