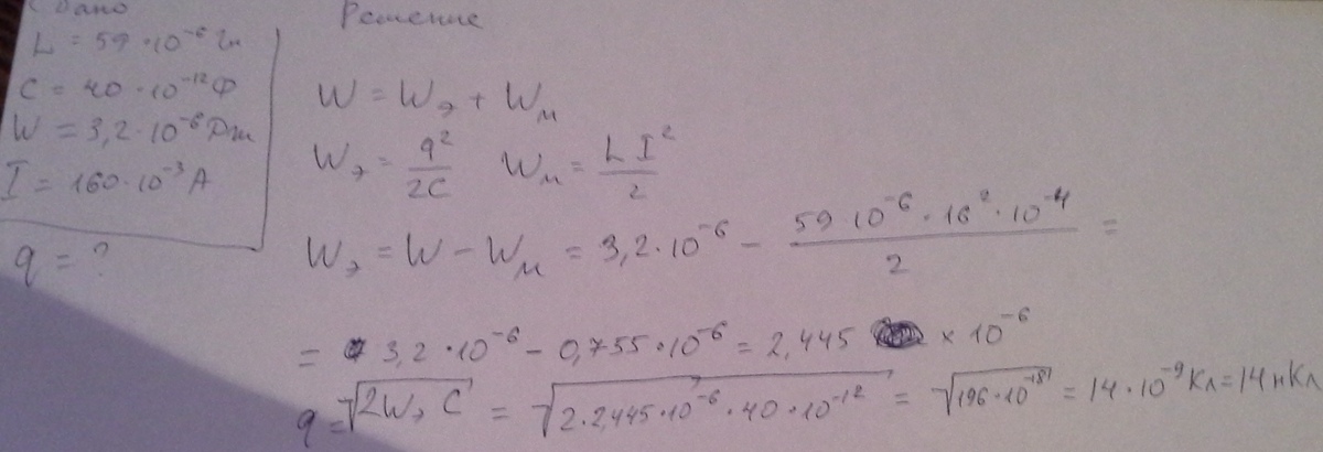
колебательный контур состоит из катушки индуктивности 59 мкГн и конденсатора 40 пФ энергия запасенная в контуре равна 3,2* 10^-6 дж. чему равен заряд на конденсаторе в тот момент когда ток в цепи равен 160 мА
Ответы
Ответ дал:
0
колебательный контур - это система состоящая из катушки и конденсатора.
Приложения:

Вас заинтересует
2 года назад
8 лет назад
10 лет назад
10 лет назад