Ответы
Ответ дал:
0
Лови решения ^______^
Приложения:




Ответ дал:
0
спасало
Ответ дал:
0
ой спасибо
Ответ дал:
0
пожалуйста^^
Ответ дал:
0
а) 8х²-8у²=8(х²-у²)=8(х-у)(х+у)
б) не знаю
в)ab³-ba³=(ab-ba)(a²+ab+b²)
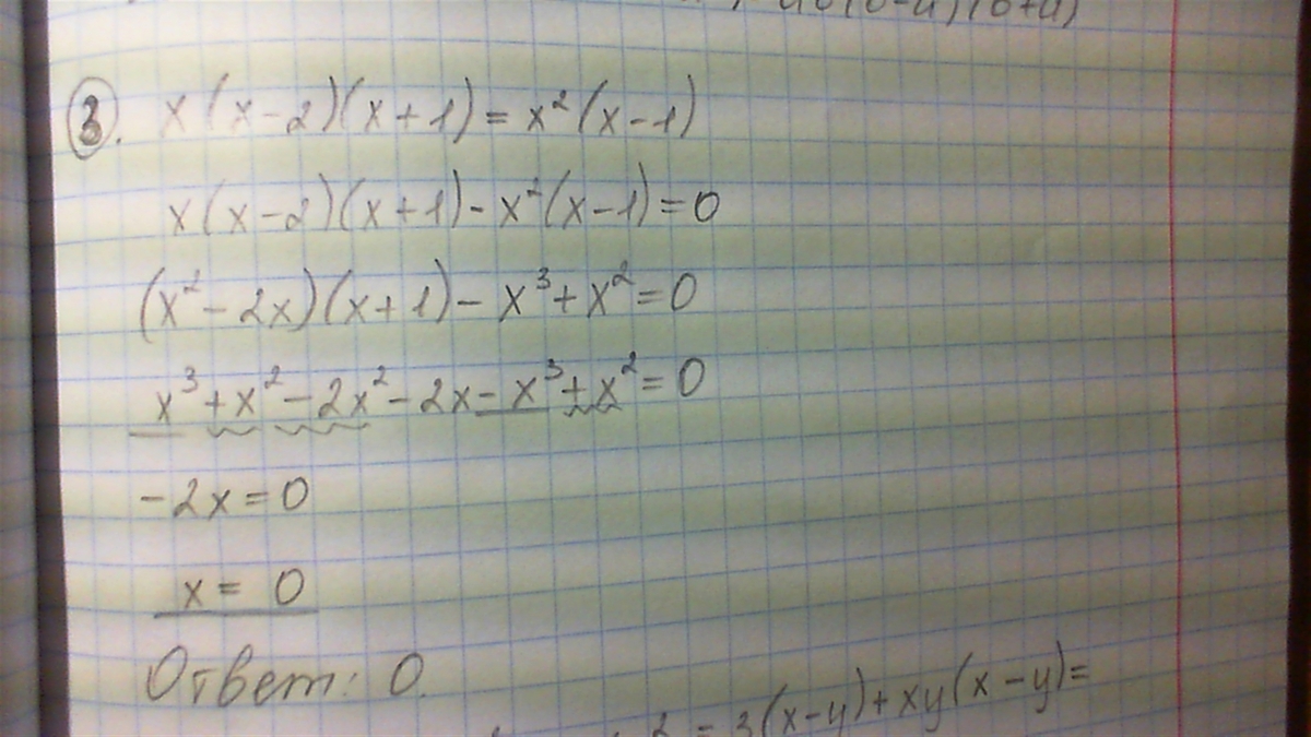
уравнение:
х(х-2х)(х+1)=х(х²-1)
прости не знаю
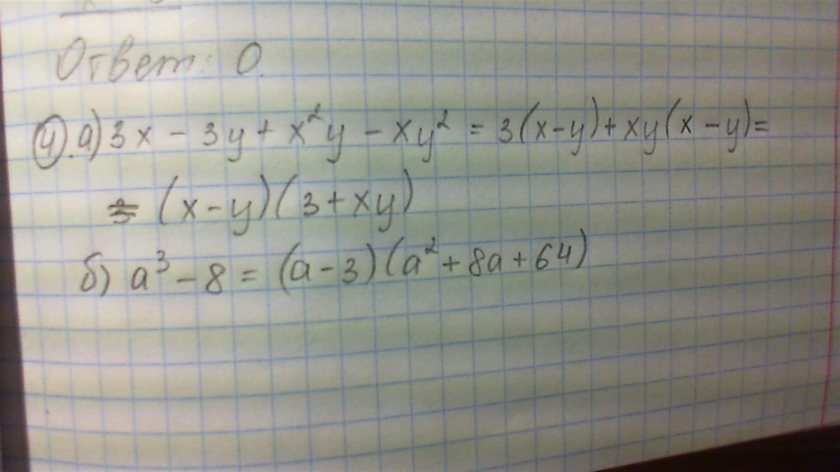
а) 3х-3у+х²у-ху²=3(х-у)+ху(х-у)=(3+ху)(х-у)
б) а³-8=а³-(2)³=(а-2)(а²+2а+2²)= (а-2)(а²+2а+4)
б) не знаю
в)ab³-ba³=(ab-ba)(a²+ab+b²)
уравнение:
х(х-2х)(х+1)=х(х²-1)
прости не знаю
а) 3х-3у+х²у-ху²=3(х-у)+ху(х-у)=(3+ху)(х-у)
б) а³-8=а³-(2)³=(а-2)(а²+2а+2²)= (а-2)(а²+2а+4)
Приложения:




Ответ дал:
0
спасибо
Ответ дал:
0
:)
Вас заинтересует
2 года назад
8 лет назад
8 лет назад
10 лет назад
10 лет назад