• Предмет: Алгебра
  • Автор: aloofness1
  • Вопрос задан 10 лет назад

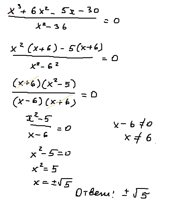
Решите дробно рациональное уравнение:
x^3 + 6x^2 - 5x - 30 / x^2 - 36 = 0

Ответы

Ответ дал: esmilya
0
Если понравилось решение - нажимай "спасибо" и "лучший" (рядом с кнопкой "спасибо") :)
Приложения:
Вас заинтересует