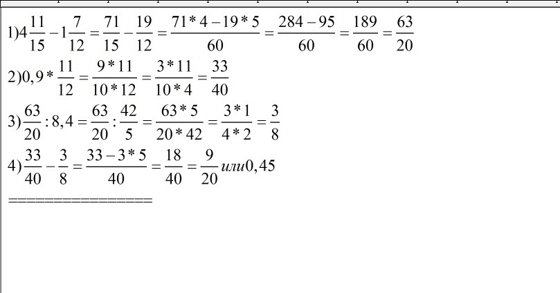
0,9*11/12-(4 11/15-1 7/12):8,4 Погомите пожалуйста, 11/12 и подобные числа - под чертой я имел ввиду что это дробь а пробелы после 4 и 1 это целые числа Желательно по действиям
Ответы
Ответ дал:
0
=====================================
Приложения:

Вас заинтересует
2 года назад
2 года назад
8 лет назад
10 лет назад
10 лет назад
10 лет назад