Ответы
Ответ дал:
0
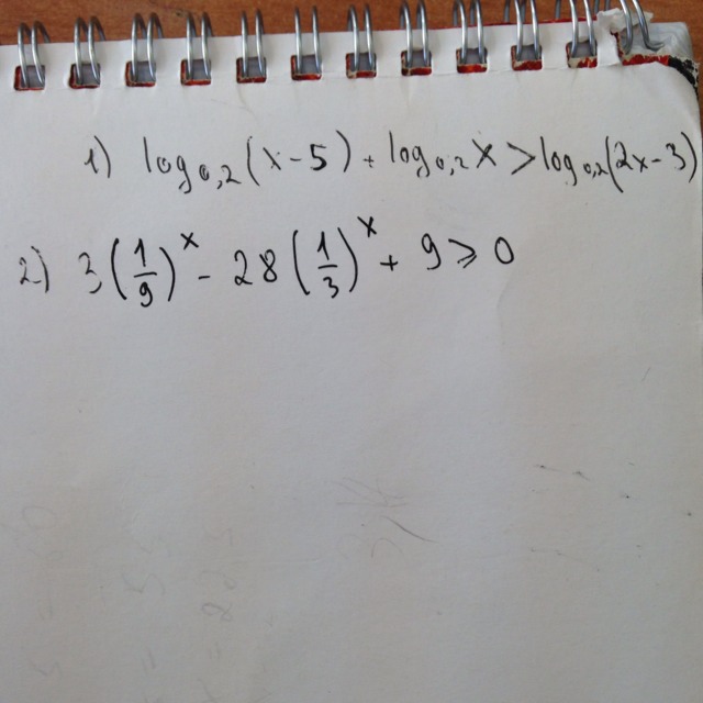
Log ( 0.2) ( X * ( X - 5 ) ) > Log ( 0.2) ( 2X - 3 )
X * ( X - 5 ) > 2X - 3
X^2 - 5X - 2X + 3 > 0
X^2 - 7X + 3 > 0
D = 49 - 12 = 37 ; V D = V 37
X1 = ( 5 + V 37 ) : 2 = 2.5 + 0.5 V 37 = 2.5 + V ( 0.25 * 37 ) = 2.5 + V 9.25 =
= 2.5 + V ( 9 * 1.02777) ≈ 2.5 + 3 V 1 = 2.5 + 3 = 5.5
X2 ≈ 2.5 - 3 = ( - 0.5 )
_______________________________
X1 > 5.5 X2 > ( - 0.5 )
____________________________
2X - 3 > 0 ---> 2X > 3 -----> X > 1.5
============================
Ответ ( 5.5 ; + бесконечность )
============================================================
( 1/3 ) ^ X = A
3A^2 - 28A + 9 ≥ 0
D = 784 - 108 = 676 ; V D = 26
A1 = ( 28 + 26) : 6 = 9
A2 = 2 : 6 = 1/3
___________________________
( 1/3 )^ X = A
-------------------------
( 1/3 ) ^ X = 9
( 3) ^ ( - X ) = 3 ^2
- X = 2
X = ( - 2 )
__________________
( 1/3 ) ^ X = 1/3
X = 1
______________________________
X1 ≥ ( - 2 ) X2 ≥ 1
________________________
Ответ [ 1 ; + бесконечность )
X * ( X - 5 ) > 2X - 3
X^2 - 5X - 2X + 3 > 0
X^2 - 7X + 3 > 0
D = 49 - 12 = 37 ; V D = V 37
X1 = ( 5 + V 37 ) : 2 = 2.5 + 0.5 V 37 = 2.5 + V ( 0.25 * 37 ) = 2.5 + V 9.25 =
= 2.5 + V ( 9 * 1.02777) ≈ 2.5 + 3 V 1 = 2.5 + 3 = 5.5
X2 ≈ 2.5 - 3 = ( - 0.5 )
_______________________________
X1 > 5.5 X2 > ( - 0.5 )
____________________________
2X - 3 > 0 ---> 2X > 3 -----> X > 1.5
============================
Ответ ( 5.5 ; + бесконечность )
============================================================
( 1/3 ) ^ X = A
3A^2 - 28A + 9 ≥ 0
D = 784 - 108 = 676 ; V D = 26
A1 = ( 28 + 26) : 6 = 9
A2 = 2 : 6 = 1/3
___________________________
( 1/3 )^ X = A
-------------------------
( 1/3 ) ^ X = 9
( 3) ^ ( - X ) = 3 ^2
- X = 2
X = ( - 2 )
__________________
( 1/3 ) ^ X = 1/3
X = 1
______________________________
X1 ≥ ( - 2 ) X2 ≥ 1
________________________
Ответ [ 1 ; + бесконечность )
Ответ дал:
0
===================================
Приложения:
Вас заинтересует
3 года назад
3 года назад
8 лет назад
8 лет назад
11 лет назад
11 лет назад