Ответы
Ответ дал:
0
файл
========================
Приложения:

Ответ дал:
0
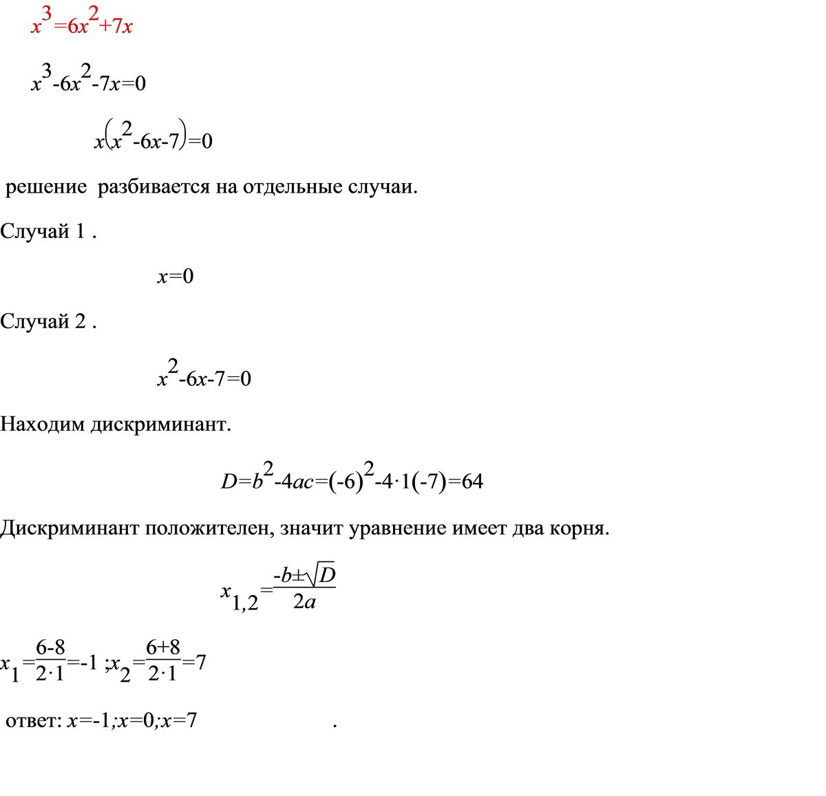
x^3=6x^2+7x; x^3-6x^2-7x=0; x(x^2-6x-7)=0; x_1=0; x_2=-1; x_3=7
Ответ: -1; 0; 7
Приложения:

Вас заинтересует
2 года назад
2 года назад
10 лет назад
10 лет назад
10 лет назад