Помогите пожалуйста от этого зависит моя четвертная оценка 3 или 4, СМОТРИ ВЛОЖЕНИЯ)
Приложения:
Ответы
Ответ дал:
0
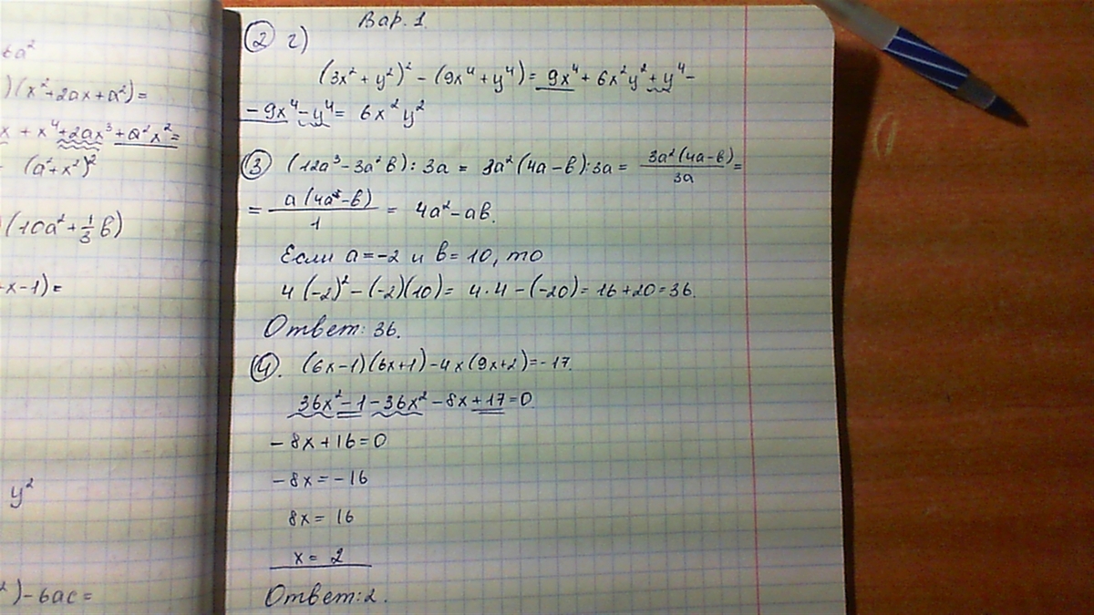
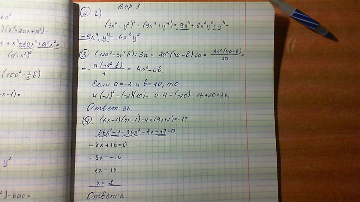
Лови решение^^ Расчитывала на то, чтобы было понятно и видно
Получи хорошую оценку :3
Получи хорошую оценку :3
Приложения:
Ответ дал:
0
тоже пять :3
Ответ дал:
0
не у меня 4 было) да и я не в школе)
Ответ дал:
0
я в восьмом :D
Ответ дал:
0
а я на первом курсе педагогического)
Ответ дал:
0
а я не знаю куда идти :)
Ответ дал:
0
2)(c+b)(c-b)-(5c^2-b^2)=c^2-bc+cb-b^2-5c^2+b^2=-4c^2
3)a)25y^2-a^2=(5y)^2-a^2=(5y-a)(5y+a)
5)a)(3x+y^2)(3x-y^2)=3x^2-3xy^2+3xy^2-y^4=3x^2-y^4
b)(a^3-6a)^2=а^6-12a^3a+36a^2
3)a)25y^2-a^2=(5y)^2-a^2=(5y-a)(5y+a)
5)a)(3x+y^2)(3x-y^2)=3x^2-3xy^2+3xy^2-y^4=3x^2-y^4
b)(a^3-6a)^2=а^6-12a^3a+36a^2
Приложения:
Вас заинтересует
3 года назад
3 года назад
8 лет назад
11 лет назад
11 лет назад
11 лет назад