• Предмет: Алгебра
  • Автор: terrex
  • Вопрос задан 10 лет назад

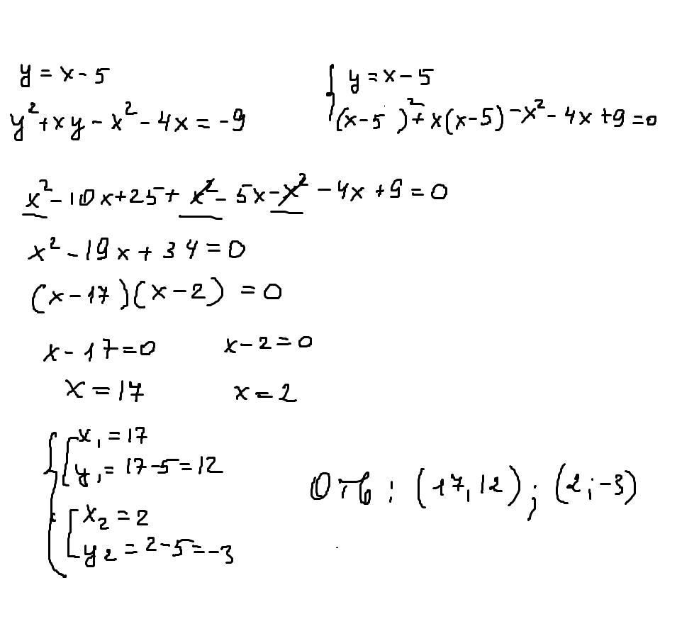
y=x-5
y^2+yx-x^2-4x=-9

Ответы

Ответ дал: esmilya
0
Если понравилось решение - нажимай "спасибо" и "лучший" (рядом с кнопкой "спасибо") :)
Приложения:
Вас заинтересует