Ответы
Ответ дал:
0
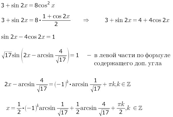
Решение прицеплено в картинке.
Приложения:


Ответ дал:
0
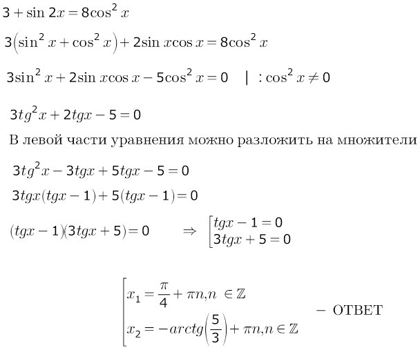
3sin^2 x + 3cos^2 x + 2sin x*cos x = 8cos^2 x
3sin^2 x + 2sin x*cos x - 5cos^2 x = 0
Делим все на cos^2 x ≠ 0
3tg^2 x + 2tg x - 5 = 0
D/4 = 1 + 3*5 = 16 = 4^2
tg x1 = (-1 + 4)/3 = 3/3 = 1
tg x2 = (-1 - 4)/3 = -5/3
Можно разложить на множители левую часть:
(tg x - 1)(3tg x + 5) = 0
1) tg x = 1; x1 = pi/4 + pi*k
2) tg x = -5/3; x2 = arctg(-5/3) + pi*n
3sin^2 x + 2sin x*cos x - 5cos^2 x = 0
Делим все на cos^2 x ≠ 0
3tg^2 x + 2tg x - 5 = 0
D/4 = 1 + 3*5 = 16 = 4^2
tg x1 = (-1 + 4)/3 = 3/3 = 1
tg x2 = (-1 - 4)/3 = -5/3
Можно разложить на множители левую часть:
(tg x - 1)(3tg x + 5) = 0
1) tg x = 1; x1 = pi/4 + pi*k
2) tg x = -5/3; x2 = arctg(-5/3) + pi*n
Приложения:


Вас заинтересует
2 года назад
8 лет назад
10 лет назад
10 лет назад