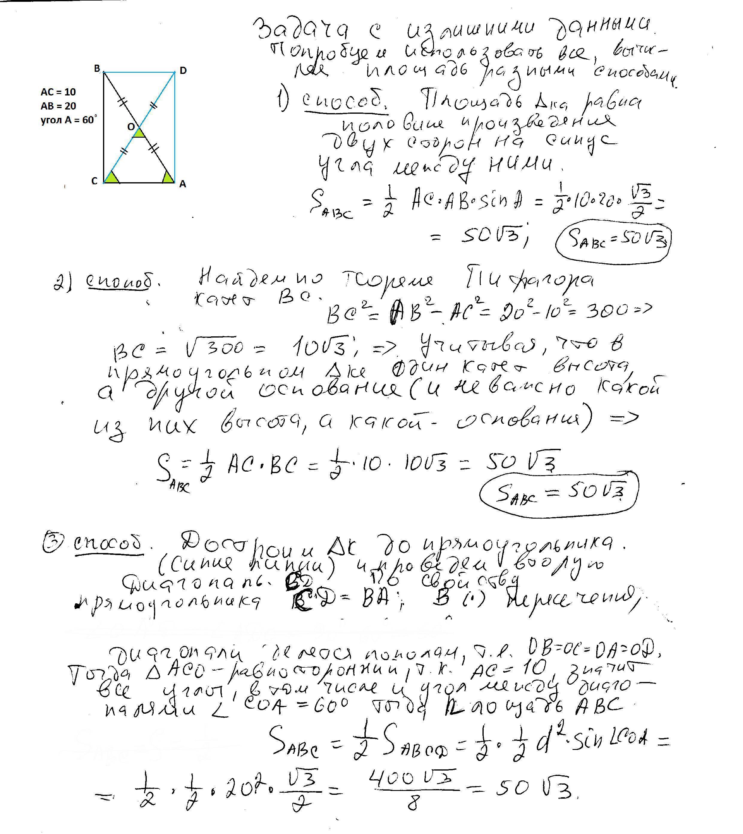
в прямоугольном треугольнике один из катетов равен 10, острый угол, прилежащий к нему, равен 60*, а гипотенуза равна 20. найдите площадь треугольника
Ответы
Ответ дал:
0
решение в скане. Излишек данных я компенсировал разнообразием решений.
Приложения:

Вас заинтересует
2 года назад
8 лет назад
10 лет назад
10 лет назад
10 лет назад