Ответы
Ответ дал:
0
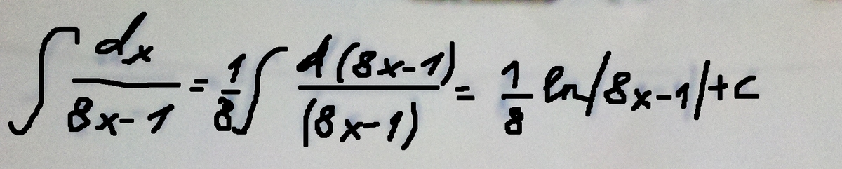
решение задачи во вложении.. нужно только ввести 8х-1 под знак дифференциала а 1/8 вынести за интеграл
Приложения:

Вас заинтересует
2 года назад
2 года назад
8 лет назад
8 лет назад
10 лет назад
10 лет назад
10 лет назад