• Предмет: Алгебра
  • Автор: МашаЮля123
  • Вопрос задан 10 лет назад

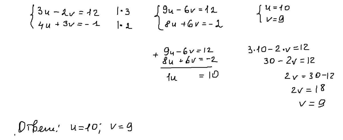
Решите систему способом сложения 

3u-2v=12

4u+3v=-1

Ответы

Ответ дал: esmilya
0
Если понравилось решение - нажимай "спасибо" и "лучший" (рядом с кнопкой "спасибо") :)
Приложения:
Вас заинтересует