• Предмет: Алгебра
  • Автор: sofyachirkina
  • Вопрос задан 10 лет назад

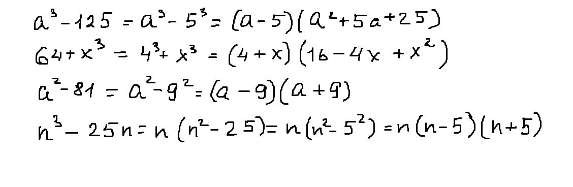
а)а^3-125=
б)64+x^3=
в)а^2-81=
г)n^3-25n=

Ответы

Ответ дал: esmilya
0
Если понравилось решение - нажимай "спасибо" и "лучший" (рядом с кнопкой "спасибо") :)
Приложения:
Вас заинтересует