• Предмет: Алгебра
  • Автор: Аноним
  • Вопрос задан 10 лет назад

Помогите пожалуйста с решением двух уравнений на тригонометрические тождества и формулы сложения.
См.приложение.
Если что то не понятно написано , то я поясню!

Приложения:

Ответы

Ответ дал: Rechnung
0
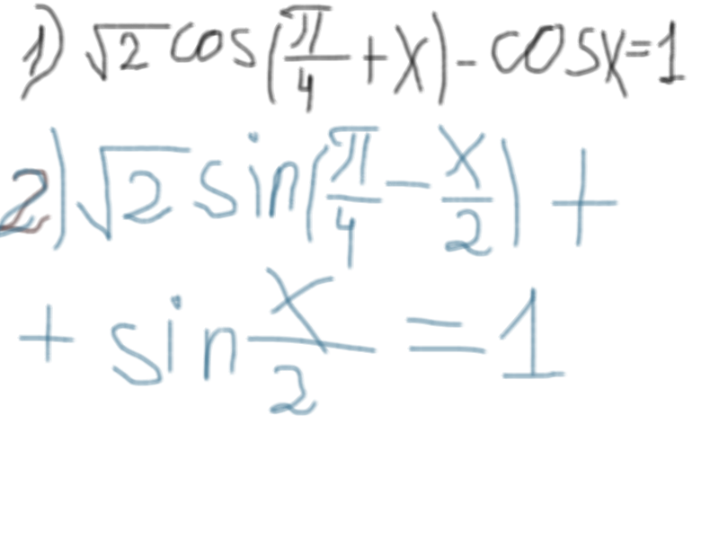
√2cos(π/4+x)-cosx=1                                       √2sin(π/4-x/2)+sinx/2=1
√2(cosπ/4*cosx-sinπ/4*sinx)-cosx=1        √2(sinπ/4*cosx/2-cosπ/4*sinx/2)+sinx/2=1
√2*(√2/2*cosx-√2/2*sinx)-cosx=1              √2(√2/2*cosx/2-√2/2*sinx/2)+sinx/2=1
√2*√2/2(cosx-sinx)-cosx=1                        √2*√2/2(cosx/2-sinx/2)+sinx/2=1
cosx-sinx-cosx=1                                        cosx/2-sinx/2+sinx/2=1
-sinx=1                                                        cosx/2=1
sinx=-1                                                        x/2=2πn, n∈Z
x=-π/2+2πn, n∈Z                                       x=4πn, n∈Z

Ответ дал: Artem112
0
 sqrt{2} cos( frac{ pi }{4} +x)-cos x=1 \ sqrt{2}( cos frac{ pi }{4} cos x - sin frac{ pi }{4} sin x)-cos x=1 \ sqrt{2}(frac{ sqrt{2} }{2} cos x - frac{ sqrt{2} }{2} sin x)-cos x=1 \ cos x - sin x-cos x=1 \ sin x=-1 \ x=- frac{ pi }{2}+2 pi n, nin Z
Ответ: - frac{ pi }{2}+2  pi n, где n - целые числа

 sqrt{2} sin( frac{ pi }{4}- frac{x}{2})+sin frac{x}{2} =1 \ sqrt{2} (sin frac{ pi }{4}cos frac{x}{2}-cos frac{ pi }{4}sin frac{x}{2})+sin frac{x}{2} =1 \ sqrt{2} (frac{ sqrt{2} }{2}cos frac{x}{2}-frac{ sqrt{2} }{2}sin frac{x}{2})+sin frac{x}{2} =1 \ cos frac{x}{2}-sin frac{x}{2}+sin frac{x}{2} =1 \ cos frac{x}{2} =1 \ frac{x}{2} =2 pi n \ x=4 pi n,nin Z
Ответ: 4 pi n, где n - целые числа
Вас заинтересует